Theo đó, qua hệ thống camera giám sát giao thông, Phòng Cảnh sát giao thông – Công an tỉnh Vĩnh Phúc vừa phát hiện và xử phạt nguội đối với các trường hợp vi phạm Luật An toàn giao thông trên tuyến quốc lộ 2, đoạn tránh TP.Vĩnh Yên.
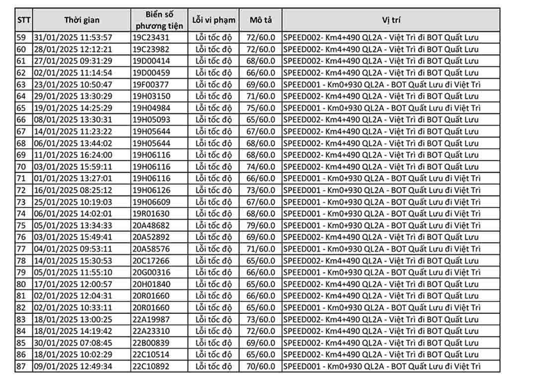
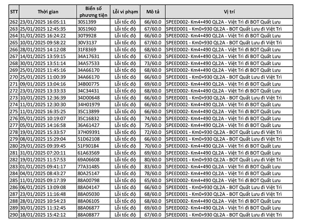
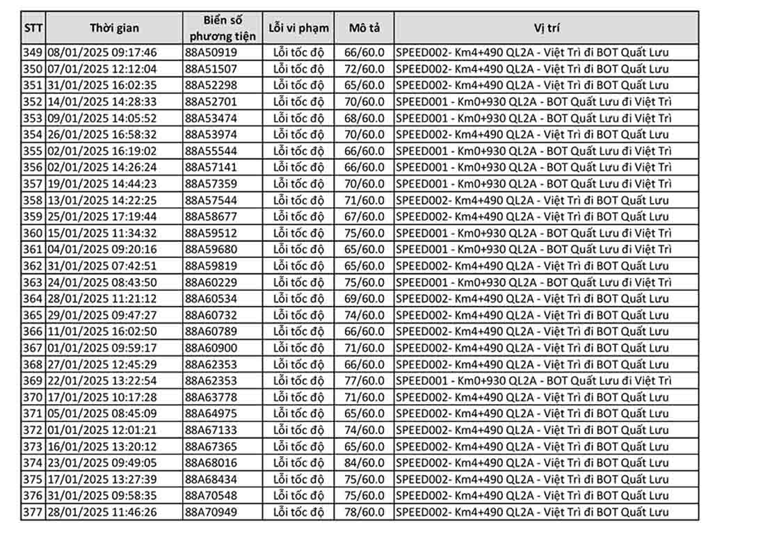
Theo danh sách phạt nguội, đã có 440 trường hợp vi phạm tại đoạn đường nêu trên. Toàn bộ các phương tiện đều mắc lỗi chạy quá tốc độ quy định, tại đoạn Km0+930 (BOT Quất Lưu đi Việt Trì) và Km4+490 (Việt Trì đi BOT Quất Lưu) quốc lộ 2A – đoạn đường có tốc độ tối đa cho phép là 60 km/h. Cụ thể, các xe vi phạm như sau:
















Theo đó, các mức xử phạt đối với ô tô chạy quá tốc độ như sau:
Mức phạt chạy xe ôtô quá tốc độ quy định từ 05 km/h đến dưới 10 km/h: Phạt tiền từ 800.000 đồng đến 1.000.000 đồng.
Mức phạt chạy xe ôtô quá tốc độ quy định từ 10 km/h đến 20 km/h: Phạt tiền từ 4.000.000 đồng đến 6.000.000 đồng; đồng thời người vi phạm sẽ bị trừ 02 điểm giấy phép lái xe.
Mức phạt chạy xe ôtô quá tốc độ quy định từ trên 20 km/h đến 35 km/h: Phạt tiền từ 6.000.000 đồng đến 8.000.000 đồng; đồng thời người vi phạm sẽ bị trừ 04 điểm giấy phép lái xe.
Mức phạt chạy xe ôtô quá tốc độ quy định trên 35 km/h: Phạt tiền từ 12.000.000 đồng đến 14.000.000 đồng; đồng thời người vi phạm sẽ bị trừ 06 điểm giấy phép lái xe.
Mục tiêu chính của việc tăng mạnh mức phạt theo Nghị định 168/2024/NĐ-CP nhằm nâng cao ý thức chấp hành pháp luật về giao thông, từ đó góp phần giảm thiểu tai nạn, ùn tắc…
Công an tỉnh Vĩnh Phúc yêu cầu chủ phương tiện đến Phòng Cảnh sát giao thông – Công an tỉnh Vĩnh Phúc để làm việc và thực hiện việc nộp phạt theo đúng quy định.
Ngoài ra, chủ phương tiện có thể đến công an cấp huyện nơi cư trú để xử lý phạt nguội.
Công an yêu cầu người vi phạm đến trụ sở Công an nơi phát hiện phạt nguội hoặc đến Công an cấp huyện nơi cư trú để giải quyết vụ việc vi phạm theo quy định.
Quá thời hạn 20 ngày kể từ ngày gửi thông báo vi phạm, người vi phạm không đến Công an để giải quyết vụ việc vi phạm hoặc Công an chưa nhận được thông báo kết quả giải quyết, xử lý của Công an cấp huyện nơi cư trú của người vi phạm thì Công an sẽ tiến hành cập nhật thông tin phương tiện giao thông vi phạm lên trang Thông tin điện tử của Cục Cảnh sát giao thông và gửi thông báo cảnh báo phương tiện giao thông cho cơ quan đăng kiểm (đối với phương tiện quy định phải đăng kiểm).
– Đối với xe ô tô: Đăng ký xe, Giấy chứng nhận kiểm định an toàn kỹ thuật và bảo vệ môi trường, Giấy phép lái xe của người vi phạm, Căn cước công dân của người vi phạm (với mỗi loại giấy tờ photo 01 bản).
– Đối với xe mô tô: Đăng ký xe, Giấy phép lái xe của người vi phạm, Căn cước công dân của người vi phạm (với mỗi loại giấy tờ photo 01 bản).
Đọc bài gốc tại đây.
