Ngày 7/2, Công an tỉnh Vĩnh Phúc đã đăng tải thông báo kết quả phát hiện, xử lý phạt nguội qua Hệ thống camera giám sát giao thông.
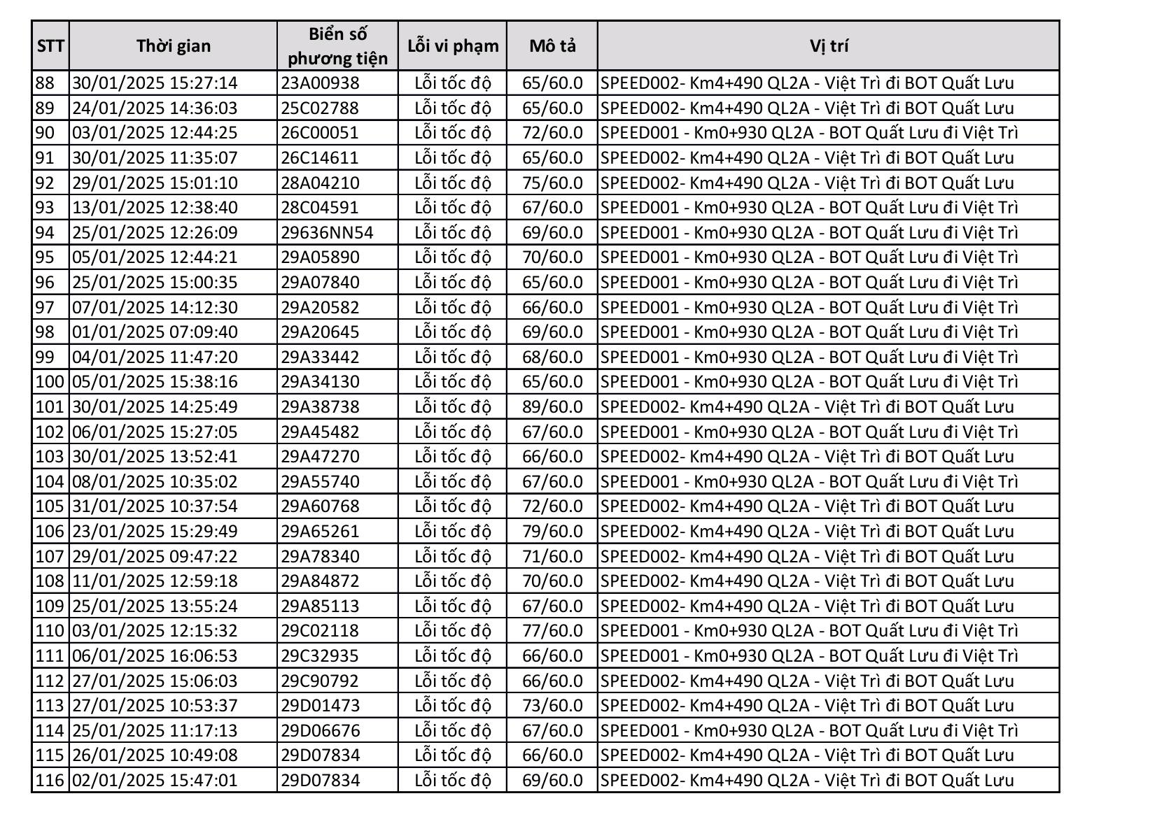
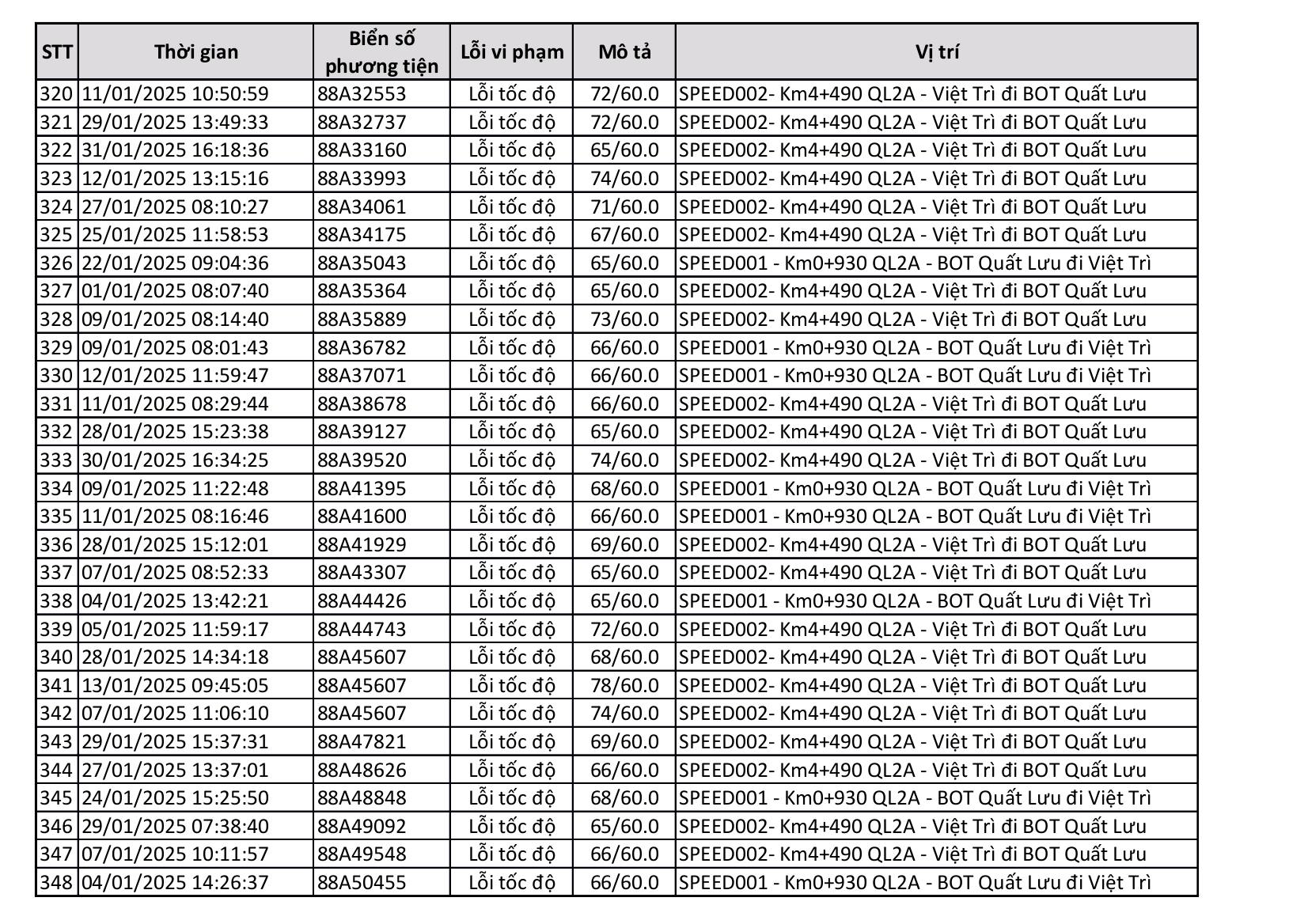
Cụ thể, trong tháng 1/2025, qua Hệ thống camera giám sát giao thông, Phòng Cảnh sát giao thông Công an tỉnh Vĩnh Phúc đã phát hiện và xử phạt “nguội” đối với 440 trường hợp vi phạm Luật an toàn giao thông (Lỗi tốc độ).
Cơ quan Công an yêu cầu chủ phương tiện đến Phòng Cảnh sát giao thông Công an tỉnh để làm việc và thực hiện việc nộp phạt theo đúng quy định.
440 trường hợp vi phạm cụ thể như sau:
















Danh sách 440 phương tiện bị xử phạt “nguội” trong tháng 1/2025 do Công an tỉnh Vĩnh Phúc công bố (Ảnh: Công an tỉnh Vĩnh Phúc)
Trước đó, ngày 4/2, Công an tỉnh Bắc Giang đã đăng tải kết quả phạt hiện xử phạt “nguội” từ ngày 20/1/2025 đến ngày 26/1/2025. Cụ thể, qua hệ thống camera giám sát giao thông, Công an thành phố Bắc Giang đã phát hiện 95 trường hợp vi phạm, bao gồm: 43 trường hợp vượt đèn đỏ, 11 trường hợp lấn làn, vi phạm vạch kẻ đường, 10 trường hợp không đội mũ bảo hiểm, 24 trường hợp rẽ trái tại nơi có biển cấm, 7 trường hợp chạy quá tốc độ quy định.
Danh sách cụ thể như sau:
Vi phạm vượt đèn
– Xe ô tô biển số: 98A-106.56; 98C-162.43; 98C-172.24; 98A-452.71; 98A-354.63; 98A-374.97; 98A-412.61; 98A-700.65; 98C-104.66; 98A-564.84; 98A-615.32; 88C-159.11; 15K-384.45;
– Xe mô tô biển số: 98B3-928.92; 98H6-9927; 98B3-266.40; 98AA-083.24; 98B3-546.77; 98H6-9927; 98B3-911.85; 98B3-830.85; 98B3-167.68; 98B3-230.29; 98B3-404.09; 98B3-900.45; 98H6-9927; 98B3-291.51; 98B3-243.47; 98B3-915.97; 98B3-202.21; 98B3-104.75; 98B3-604.20; 98B3-676.37; 98B3-947.04; 98B3-181.61; 98AA-087.51; 98B3-267.24; 98B3-904.65; 98B3-860.85; 98B3-526.91; 98B3-922.75; 98B3-291.51; 98B3-532.68;
Lấn làn, vi phạm vạch kẻ đường: 30H-294.54; 30G-679.08; 30G-468.69; 28A-074.98; 30L-858.85; 98A-004.55; 98B-001.52; 98A-234.02; 20A-679.01; 29D-063.55; 98A-072.49;
Không đội mũ bảo hiểm: 98B3-655.55; 98B3-761.38; 98B3-198.01; 98B3-591.65; 98AA-118.68; 98B3-879.49; 98AA-105.94; 98B3-441.71; 98B3-187.55; 98AA-123.45;
Rẽ trái nơi có biển cấm: 98A-573.62; 98A-746.46; 98A-407.75; 98A-640.04; 98A-746.46; 98A-722.48; 99A-328.16; 98A-185.08; 99A-570.54; 89H-039.28; 98A-837.18; 99A-187.00; 28A-194.67; 30F-323.52; 98C-302.57; 98A-690.24; 99A-385.89; 30F-688.92; 98A-851.76; 98C-103.35; 98A-149.13; 98C-103.35; 98A-762.20; 99A-335.34;
Chạy quá tốc độ quy định: 98A-573.05; 30H-531.17; 98A-700.73; 98B3-175.93; 99C1-434.17; 98B2-755.17; 98M1-225.51.
Người dân lưu ý, để tra cứu phương tiện vi phạm, người dân có thể truy cập vào đường link sau đây và thực hiện nhập thông tin biển kiểm soát, loại xe: https://www.csgt.vn/tra-cuu-phuong-tien-vi-pham.html.
Bên cạnh đó, người dân cũng có thể tra cứu phạt nguội qua ứng dụng VNeTraffic theo các bước như sau:
Bước 1: Tải và cài đặt app VNeTraffic về điện thoại trên App Store/ CH Play.
Bước 2: Đăng nhập tài khoản
Trường hợp chưa có tài khoản thì đăng ký tài khoản theo các bước sau:
Chọn đăng ký, sau đó quét mã QR bên góc trên cùng phải của thẻ CCCD. Người dân thực hiện kiểm tra thông tin, nhập số điện thoại và bấm “Xác nhận”.
Sau đó hệ thống sẽ gửi mã OTP về điện thoại, người dân cần nhập mã OTP và thiết lập mật khẩu.
Bước 3: Để kiểm tra phạt nguội cá nhân chọn mục “Tra cứu vi phạm”.
Bước 4: Nhập biển số xe cần tra cứu và nhấn “Kiểm tra”
Đọc bài gốc tại đây.
