Trong thời gian qua, Phòng Cảnh sát giao thông, Công an các tỉnh, thành phố đã công bố danh sách phạt nguội trong hai tháng đầu năm, cũng là hai tháng đầu tiên Nghị định 168/2024/NĐ-CP có hiệu lực. Trong số các lỗi vi phạm bị xử phạt “nguội” được công bố, một trong những lỗi phổ biến nhất là “Chạy quá tốc độ quy định”.
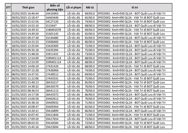
Cụ thể, tại Thái Bình, theo thông báo được đăng tải mới nhất, từ ngày 19/2 đến ngày 25/2, trong số tổng cộng 67 lượt phương tiện vi phạm Luật Giao thông đường bộ bị xử lý phạt “nguội”, có 57 lượt phương tiện vi phạm lỗi vượt quá tốc độ gồm:

Ảnh: Công an tỉnh Thái Bình
Tại Hà Nam, ngày 12/2, Công an TP. Phủ Lý đã có thông báo phát hiện và xử phạt “nguội” thông qua hệ thống camera giám sát giao thông và máy đo tốc độ trong tháng 1. Công an TP. Phủ Lý lưu ý, khi đến nộp phạt “nguội”, chủ xe cần chuẩn bị các giấy tờ sau:
– Đối với xe ô tô: Đăng ký xe, Giấy chứng nhận kiểm định an toàn kỹ thuật và bảo vệ môi trường, Giấy phép lái xe của người vi phạm, Căn cước công dân của người vi phạm (với mỗi loại giấy tờ photo 01 bản).
– Đối với xe mô tô: Đăng ký xe, Giấy phép lái xe của người vi phạm, Căn cước công dân của người vi phạm (với mỗi loại giấy tờ photo 1 bản).
Trong danh sách được Công an TP. Phủ Lý công bố, có 35 phương tiện chạy quá tốc độ quy định, cụ thể:
– Xe ô tô: 90A-016.69; 90A-043.34; 90A-056.78; 90A-068.23; 90A-083.76; 90A-094.27; 90A-125.47; 90C-112.63; 90C-137.69; 15A-766.06; 29C-344.82; 29T-5705; 30A-461.53; 30A-775.60; 30K-088.59; 90A-060.25; 90A-086.22; 90A-092.19; 90A-223.70; 90A-240.93
– Xe mô tô: 90A1-079.14; 90B2-176.59; 90B2-210.11; 90B3-091.92; 90B3-669.64; 28FL-020.34; 29BF-040.30; 90AB-123.97; 90AB-156.36; 90B1-193.29; 90B1-552.77; 29H1-628.95; 29M1-711.39; 35B1-795.60; 29X1-567.83
Tại Bắc Giang, từ ngày 20/1 đến 2/2, Công an TP. Bắc Giang. tỉnh Bắc Giang đã thông báo 213 trường hợp vi phạm trật tự an toàn giao thông. Trong số đó, ghi nhận 11 phương tiện vi phạm lỗi “Chạy quá tốc độ quy định”, cu thể:
Xe biển số: 30E-479.63; 98A-438.61; 98A-009.35; 98B3-336.32; 98A-573.05; 30H-531.17; 98A-700.73; 98B3-175.93; 99C1-434.17; 98B2-755.17; 98M1-225.51
Công an TP. Bắc Giang khuyến nghị người dân nâng cao ý thức chấp hành luật giao thông, góp phần đảm bảo an toàn cho bản thân và cộng đồng.
Tại Vĩnh Phúc, ngày 7/2, Công an tỉnh cho biết: Trong tháng 1/2025, qua Hệ thống camera giám sát giao thông, Phòng Cảnh sát giao thông đã phát hiện và xử phạt “nguội” đối với 440 trường hợp vi phạm Luật an toàn giao thông (Lỗi tốc độ).
Cơ quan Công an yêu cầu chủ phương tiện đến Phòng Cảnh sát giao thông Công an tỉnh để làm việc và thực hiện việc nộp phạt theo đúng quy định. Để xem đầy đủ danh sách, người dân có thể truy cập vào link sau đây.

Một số phương tiện vi phạm “Lỗi tốc độ” (Ảnh: Công an tỉnh Vĩnh Phúc)
Tại Thanh Hóa, ngày 10/2, Công an tỉnh đã có thông báo danh sách các phương tiện vi phạm quy định về tốc độ.
Theo đó, từ ngày 1/1 đến ngày 16/1, thông qua thiết bị kỹ thuật nghiệp vụ, các tổ công tác của phòng CSGT Thanh Hoá đã phát hiện, ghi nhận bằng hình ảnh đối với 310 trường hợp phương tiện vi phạm quy định về tốc độ trên các tuyến Quốc lộ, đã gửi thông báo phục vụ “Xử phạt nguội”.
Trong tổng số 310 trường hợp, có 73 phương tiện vi phạm trên tuyến Quốc lộ 1; 27 trường hợp vi phạm trên tuyến Quốc lộ 45; 21 trường hợp vi phạm trên tuyến Quốc lộ 10; 35 trường hợp vi phạm trên tuyến Quốc lộ 47; 127 trường hợp trên tuyến Quốc lộ 47B và 6 trường hợp trên tuyến đường Hồ Chí Minh.
Phòng cảnh sát giao thông Thanh Hoá đề nghị người dân cần nâng cao ý thức tự giác chấp hành nghiêm các quy định của pháp luật khi tham gia giao thông. Để xem đầy đủ danh sách, người dân có thể truy cập vào link sau đây.

Một số phương tiện vi phạm chạy quá tốc độ quy định (Ảnh: Công an tỉnh Thanh Hóa)
Người dân lưu ý, để tra cứu phương tiện vi phạm, có thể truy cập vào đường link sau đây và thực hiện theo hướng dẫn: https:www.csgt.vn/tra-cuu-phuong-tien-vi-phạm.html.
Bên cạnh đó, người dân cũng có thể tra cứu phạt nguội qua ứng dụng VNeTraffic theo các bước như sau:
Bước 1: Tải và cài đặt app VNeTraffic về điện thoại trên App Store/ CH Play.
Bước 2: Đăng nhập tài khoản
Trường hợp chưa có tài khoản thì đăng ký tài khoản theo các bước sau:
Chọn đăng ký, sau đó quét mã QR bên góc trên cùng phải của thẻ CCCD. Người dân thực hiện kiểm tra thông tin, nhập số điện thoại và bấm “Xác nhận”.
Sau đó hệ thống sẽ gửi mã OTP về điện thoại, người dân cần nhập mã OTP và thiết lập mật khẩu.
Bước 3: Để kiểm tra phạt nguội cá nhân chọn mục “Tra cứu vi phạm”.
Bước 4: Nhập biển số xe cần tra cứu và nhấn “Kiểm tra”
Hà Giang
Đọc bài gốc tại đây.
